
Julius Eastman 1970’s
Everybody loves a story – sometimes to a fault. Art History is held afloat by the dramatic tales of its contributors. It often becomes impossible to separate the antics from the artifacts. Stories of self-destruction are easier to understand than the mundanity that usually accompanies true creative genius – let alone its ideas. As a result, history’s brightest minds are often those who suffer its greatest neglect. The case Julius Eastman defies history’s normal paths. He was a flamboyant, drug addled genius, plumbing depths that few have known – all eventually leading to his becoming homeless and forgotten. He was also one of his generation’s the brightest minds. With such narrative stacked in his favor, you’d think he’d be history’s darling – a musical Van Gogh. His absence from our collective memory seems to rest in vile predictability with his race, and his unwillingness to play “the game”.

Julius Eastman 1974
Most of Eastman’s life was spent between Upstate New York (where he was born and died), and New York City. There’s every indication that he was a child prodigy – taking up the piano young and excelling at a rapid pace. Though he is historically regarded as a composer, and began his creative life as a member of Creative Associates, a group of experimental composers that included Morton Feldman, Lukas Foss, and Pauline Oliveros, during his lifetime he was considered a stronger pianist and vocalist – performing in multiple ensembles, most notably S.E.M (which he helped found), as well as with Pierre Boulez, Meredith Monk, and Arthur Russell, among others. Though details of Eastman’s life are difficult to stitch together, it seems that during the 1970’s he maintained a balancing act as a darling of avant-garde music, and an uncompromising thorn in its side. Classical music, not matter how progressive, has always had an orthodoxy – a set of rules, behaviors, and practices, which could ultimately be defined as White and heteronormative. Two roles that Eastman had no interest in playing. He was as vocal about being Black as he was Gay. Though many narratives surrounding the composer mention his “difficult” personality, and “self-sabotage”, I suspect that race and sexual orientation had a far greater role in the neglect he suffered (and continues to) than people care to admit. It seems he saw fear in the eyes of the establishment and (rightly) rubbed their faces it in.

Julius Eastman 1968
Addressing Eastman’s music is simple. It’s unquestionably brilliant. He was one of the most exciting members of the generation of composers who followed the legacy laid by Minimalism. With titles incorporating the words nigger and faggot, though it far from forgiving it, you can see why a culture weened on the good manners of Steve Reich, Phillip Glass, and all those who proceeded them, dragged its heals. Sadly Eastman was one of those delicate souls who rightly saw his job as a challenge to status-quo, and as an instigator of progress, but bore the weight of rejection heavily. By early 80’s, after a decade of failed attempts and neglect, he suffered the consequence by succumbing to addiction – the most dire result of which was the evicted from his home, and subsequent loss of his scores. From this point, the last seven years of his tale are blank. Sometime between 1983 and 1990 he quietly made his way to to Buffalo where he died alone at the age of 49.

Julius Eastman 1970’s
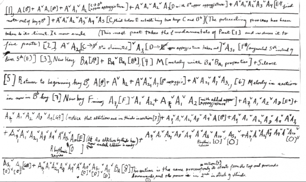
Any creative force who dies young is a tragic loss. I’m often haunted by what might have been – of the music we will never hear. Eastman’s legacy is doubly unfortunate. Because so much of his work was lost with his eviction from his home, there is little that remains of him. What survives is worth its weight in gold – leaving you wishing for more. It is as beautiful as it is brilliant, bringing tears to my eyes and anger to my heart. These works are profound. The fact that they are not know by more people, and do not hold their rightful place in history, fills me with rage. Eastman was one of the most brilliant minds of his generation, and unquestionably its most neglected. In a small step toward rectifying this, I’ve decided to highlight three of my favorites among his works – Gay Guerrilla, Evil Nigger, and Crazy Nigger. Each is a piano work which uses Minimalism as starting point, but brings to it an unprecedented range and emotion. These works are neither simple nor reductive. I’ve included links to audio as well as images of their scores. I can’t recommend strongly enough that you set a few hours aside and delve in. They are as incredible as they are rewarding. I hope my efforts will help keep their composer in your mind and begin to erase the sins of time.

Julius Eastman’s Gay Guerrilla, Evil Nigger, and Crazy Nigger in their envelopes

First page of Julius Eastman’s Crazy Nigger (1979)

Page of Julius Eastman’s Crazy Nigger (1979)

Julius Eastman’s Crazy Nigger (1979)
Julius Eastman – Crazy Nigger (1979)

First page of Julius Eastman’s Evil Nigger (1979)

Julius Eastman’s Evil Nigger (1979)
Julius Eastman – Evil Nigger (1979) 1/2
Julius Eastman – Evil Nigger (1979) 2/2

First Page of Julius Eastman’s Gay Guerrilla (1979)

Julius Eastman’s Gay Guerrilla (1979)
Julius Eastman – Gay Guerrilla (1979) 1/2
Julius Eastman – Gay Guerrilla (1979) 2/2
Thanks very much for carrying the torch,I will pass this along.I have something for you,and will send it via email..best wishes, Rocco
LikeLike
Happily! Eastman was an incredible composer who deserves to be in the front of everyone’s minds. Glad that my words reached you. Best, Bradford
LikeLike